磁性材料是现代信息存储技术的重要基础,现有典型器件中信息的写入/读取是通过对磁性薄膜材料中磁性状态的改变/检测来实现。为满足未来海量数据存储的需求,新型磁性材料及相关物理效应的研究尤为重要。二维磁性半导体是同时具有磁性及半导体性质、且只有数原子层厚的新型材料,可对未来高密度信息器件的研发产生重要影响。由于二维磁性半导体的体积极小,无法应用传统磁性测量手段(如SQUID,中子散射等)来获取其磁性,因此急需探索其新的物理效应并应用在微纳尺度磁性探测上。
近日,伊莉影片
伊莉影片
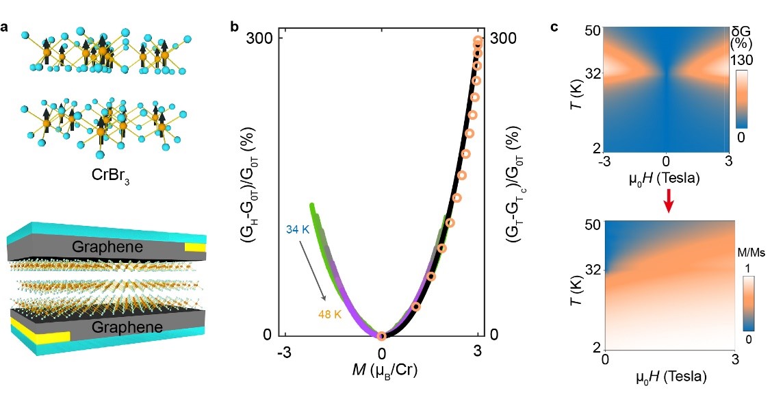
王喆教授与日内瓦大学Alberto Morpurgo教授团队合作,发现了二维铁磁半导体中隧穿电导由磁化强度决定,这一物理效应表明可通过电子隧穿的方式来精确测量二维铁磁体的磁化强度。文中制备了“石墨烯/三溴化铬CrBr3/石墨烯”隧道结并系统测量了隧道结在不同温度及磁场下的电导。通过分析发现,隧道结无论是居里温度(~32 K)以上由外加磁场引起的磁电导,还是居里温度以下由自发磁矩引起的磁电导,都跟材料的磁化强度有着唯一的依赖关系。这一现象可由自旋相关的Fowler–Nordheim电子隧穿模型所解释。此物理效应表明可通过隧穿磁电阻的测量反推出样品的磁化强度。这项工作为二维材料的磁学性质探测提供了新的方法,磁性半导体中磁电耦合相关现象的发现为走向自旋的未来信息时代提供了更多可能。

图1. (a)CrBr3晶体及隧穿结示意图。(b)隧穿磁电导对磁化强度的依赖关系,其中黑线为理论拟合数据。(c)通过隧穿磁电导得到二维磁体的磁化强度。
相关成果以“铁磁半导体中磁化强度依赖的隧穿电导”(Magnetization dependent tunneling conductance of ferromagnetic barriers)为题在《自然-通讯》(Nature Communications)上发表,伊莉影片
为第一单位和第一通讯单位,王喆教授为第一作者及共同通讯作者。本研究为王喆教授访问日内瓦大学期间的成果,获得了国家自然科学基金的支持。
王喆教授长期从事低维量子材料与器件的研究,在基于二维材料的自旋电子学方面发表了包括《科学》(Science)、《自然-纳米技术》(Nature Nanotechnology)、《自然-通讯》(Nature Communications)、《物理评论X》(Physical Review X)在内的多篇论文,获得了国家“高层次人才”青年项目、陕西省“高层次人才”青年项目、伊莉影片
"思源学者"及"青年拔尖人才"项目的支持。
论文链接://www.nature.com/articles/s41467-021-26973-7